【最低賃金】令和7年度 地域別最低賃金が10月1日から順次発効されます
共通
投稿日 2025. 9. 29 最終更新日 2025. 9. 30
令和7年度の地域別最低賃金が、令和7年10月1日から令和8年3月31日かけて順次発効されます。
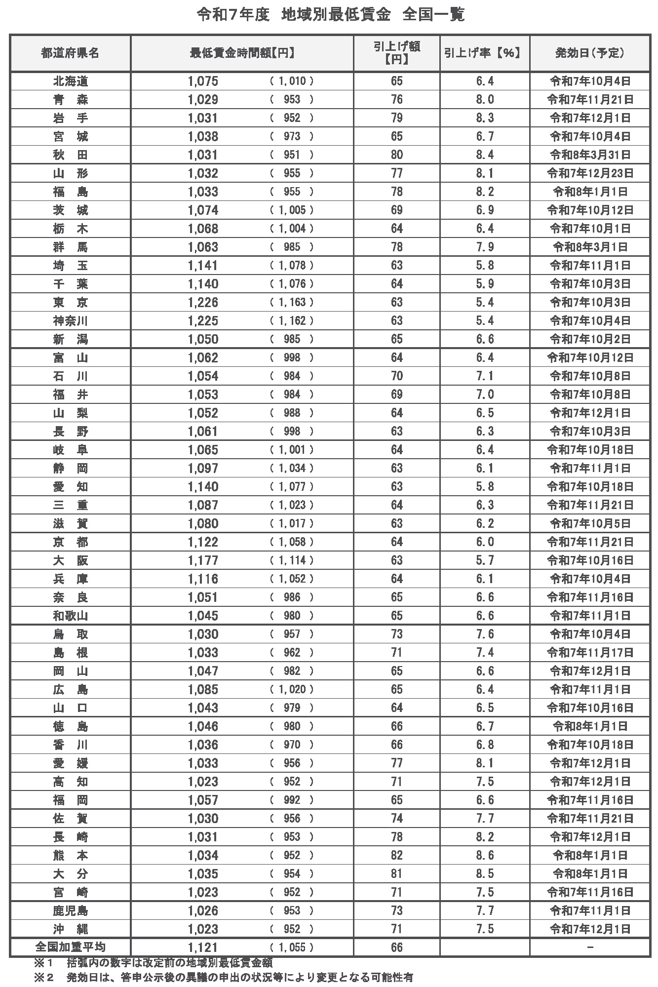
令和7年度 地域別最低賃金 全国一覧
◆最低賃金の遵守義務◆
発効日以降は、就業場所がある地域の改定された最低賃金額以上の賃金を支払う義務があります。
地域別最低賃金を下回った場合 → 使用者に 最大50万円の罰金 が科されます。
特定(産業別)最低賃金も確認を
最低賃金には以下の2種類があります。
1.地域別最低賃金
- 都道府県ごとに定められ、その地域で働くすべての労働者に適用
2.特定(産業別)最低賃金
- 産業ごとの労使協定により、地域別より高い基準が必要と認められた場合に設定される最低賃。
(都道府県ごとに対象業種・対象労働者が異なります)
🗒️都道府県別に設定されている特定最低賃金【PDF形式:33.5kb】
厚生労働省|特定最低賃金の一覧🔗
特定最低賃金を下回った場合 → 使用者に 最大30万円の罰金。
2つ以上の最低賃金が適用される場合 → 最も高い最低賃金 が適用されます。
適用の有無は、所轄の 都道府県労働局賃金課室 または 労働基準監督署 にご確認ください。
詳細:
